The Tech - Online EditionMIT's oldest and largest
newspaper & the first
newspaper published
on the web
Boston Weather: 51.1°F | Light Rain
© Hollywood Foreign Press Association
Claire Danes accepts a Golden Globe Award for best actress in a television drama for her role in “Homeland.”
A screenshot of mit.edu from Tuesday, January 22, after hackers re-directed MIT’s home page in the name of Aaron Swartz.
Photo by Omari Stephens
© Hollywood Foreign Press Association
Adele accepts a Golden Globe Award for best original song in a motion picture for “Skyfall.” Francesca Eastwood, Jason Statham, and Jennifer Lopez watch from the side.
Sage Ross—Flickr
Aaron Swartz at a Boston Wiki Meetup, photographed in 2009.
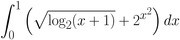
The winning integral at Tuesday’s Integration Bee, evaluated by Justin T. Brereton ’13 in two minutes. Hint: consider inverse functions.
© Hollywood Foreign Press Association
Co-hosts Tina Fey and Amy Poehler arrive on the red carpet.
Sage Ross—Flickr
Aaron Swartz at a Boston Wiki Meetup, photographed in 2009.
Photo by Omari Stephens
INFOGRAPHIC BY JOANNA KAO
A screenshot of MIT’s EDUCAUSE Whois database record from Tuesday, January 22. The name of the administrative contact for the domain was changed from MIT Network Operations to “I got owned,” and the name servers were changed to CloudFare servers.
Photo by Omari Stephens
Photo by Omari Stephens
INFOGRAPHIC BY JOANNA KAO
Photo by Omari Stephens
Photo by Omari Stephens
Ho Yin Au
A Pac-Man motif was placed over the tarp on the top of the Great Dome last Thursday, Jan. 10. The lights on the scaffolding resemble pac-dots.
Omari Stephens—The Tech
The MIT Track and Field teams hosted their annual Alumni Meet this past Saturday, Jan. 12 at the Johnson Athletic Center Indoor Track. The event invites former varsity athletes to return and compete against the current varsity squad. This year, the varsity team defeated the alumni 174.5 to 69.5.
Ho Yin Au
The scaffolding inside Barker Library’s Reading Room is being dismantled, which will reveal Barker’s newly installed skylight.
Ho Yin Au
A foot crossing was recently opened to the public near building W59. The crossing is part of a new foot path linking Amherst Street and Vassar Street added to improve the safety of pedestrians crossing the tracks.
Ethan A. Solomon—The Tech
Four protesters gathered by the MIT General Counsel’s office in Building 7 on Sunday and shared their views on the Aaron Swartz case with reporters. MIT, they said, should publicly stand up for its institutional principles of openness and free information. From left to right: Michael McCarthy, Jacob Brennan, and Frank Romanelli, all from Rhode Island; and Ben Hitov, a software engineer working in Cambridge.
Omari Stephens—The Tech
Hackers placed a mask over the “Alchemist” statue, situated in front of Building W20. The hack, photographed last Friday, Jan. 11, may be related to Mayor Thomas Menino’s declaration of a public health emergency regarding this year’s flu season.
Omari Stephens—The Tech
Paul Babbin of Stafford Painters uses a roller to paint the wall near the Forbes Café sushi area last Wednesday, Jan. 9. Forbes Café, in the Stata Center, closed Dec. 21, 2012 for renovations. It reopened this past Monday, Jan. 14.