MIT's oldest and largest
newspaper & the first
newspaper published
on the web
HOME
NEWS
OPINION
ARTS
SPORTS
CAMPUS LIFE
PHOTOS
BLOGS
JOBS
ADVERTISING
ABOUT
Boston Weather: 53.1°F | Overcast
Volume 132
>>
Issue 62 : Wednesday, January 16, 2013
PDF of This Issue
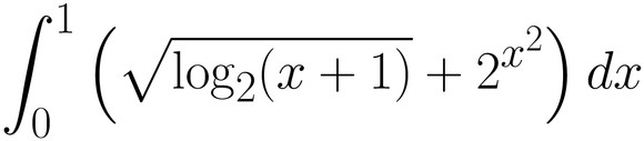
The winning integral at Tuesday’s Integration Bee, evaluated by Justin T. Brereton ’13 in two minutes. Hint: consider inverse functions.
See Article:
Course 18 senior Justin Brereton is Grand Integrator again
Only Vol. 132
View Archives
↩
Previous Issue
↪
Next Issue
Copyright 2026 • The Tech